【導讀】無源探頭受到帶寬限制,它們不能用于當今的開關電源設計。高頻探頭價格昂貴,很多小公司都無法實現。之前我們介紹了50Ω、1:1無源探頭的基本結構,并討論了可能使信號失真的傳輸線影響以及如何進行補償。本文將介紹一個n:1電壓探頭和一個電流探頭的設計與結構。

之前我們介紹了無源探頭的帶寬限制以及為什么它們不能用于當今的開關電源設計。高頻探頭價格昂貴,很多小公司通常無力購買。我們還研究了50Ω、1:1無源探頭的基本結構,并討論了可能導致信號失真的傳輸線效應以及如何補償這些誤差。本文將介紹一個n:1電壓探頭和一個電流探頭的設計和建構。
50Ω、n:1電壓探頭
只要到達示波器的信號不超過輸入放大器可處理的范圍,基本的1:1無源探頭就非常有用。雖然許多商用無源探頭可以1:1和10:1雙模式工作,但有時10:1的衰減也還不夠。例如,將交流電源電壓連接到10:1探頭就會損壞示波器,所以常常需要1000:1的探頭。對其它應用,則可能需要不同的衰減比。
要求:為> 1GHz的示波器打造一款50Ω探頭,以測量110 VAC到220 VAC、300W功率因數校正電路的功率信號。
最大電壓:+400VDC加上任何尖峰電壓。
被測器件:
● D3超結MOSFET,部件號:D3S340N65B-U(VDSS=650V, ID =12A, RDS(on)=360mΩ(標稱), tf >6.5ns)
● CREE SiC肖特基整流器,部件號:C3D04060A(600V, 7.5A)
步驟:
切下一段長約5英寸(12.5cm)的RG174(50Ω)電纜。最好是一端已有BNC連接器;
從電纜上剝去0.5英寸(12mm)的絕緣護層。切開絕緣護層的屏蔽層。剝去0.25英寸(6mm)的中心導體絕緣層;
從直徑0.5英寸的黃銅管切下0.5英寸(12mm),去掉切口毛刺;
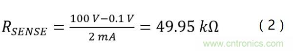
探頭將承受的最大電壓為400 VDC。查看電容的VMAX額定值。要求的顯示電壓為100mV/格(1000:1),即50Ω示波器終端電阻上的電壓為100mV。通過尖端檢測電阻的電流(IS)為:

檢測電阻的值是:

5.檢查檢測電阻的功耗:

注意:該功耗在單個¼W電阻的額定功率范圍內,但電阻會變熱。我將兩個100kΩ、¼W電阻并聯使用。
6.如圖1所示組裝電纜的檢測端。

圖1:1000:1、 50Ω電壓探頭使用兩個100kΩ電阻并聯,比使用單個50kΩ電阻的功率耗散能力增加了一倍。
高頻電流探頭
市面上常見的電流探頭帶寬從60MHz到120MHz不等。查看高頻電流波形對估算高頻半導體開關內的開關損耗很重要。因此,你可能需要帶寬更高的電流探頭。圖2是一個電流探頭的示例。

圖2:高頻電流探頭使用螺旋線圈來捕獲導線中電流產生的磁場。
圖2中的電流探頭本質上是個具有較高漏電流的¼匝初級、1:n正向模式互感器。由于初級不是理想的單匝,其準確性將在最終的校準中確定。次級線圈均勻地排布在螺旋線圈磁芯周圍。
終端電阻必須緊靠繞線螺旋線圈放置。這樣做可以使同軸電纜的傳輸線效應最小,避免成為示波器輸入信號的有效部分。終端電阻可防止大信號電流進入電纜。示波器終端應設為1MΩ。
電流是通過電路支路測量的,阻抗應非常低。電流探頭的反射阻抗(插入阻抗)應盡可能低(低Rt),且仍能為示波器輸入提供所需的幅度。
次級繞組上感應的電流是:

要將此電流轉換為示波器上顯示的電壓,必須在次級繞組上放置一個電阻,該電阻可以是任何值,但電阻值越高,初級目標電路的反電動勢就越大。反電動勢表現為與目標電流路徑串聯的額外壓降,它會影響初級電流,從而影響其測量精度。初級電流測量誤差與次級電阻值成正比。
通常由電流探頭觀測到的AC電流范圍可從100A(1kW電源)低至mA(柵極驅動電路)水平。一個電流探頭無法滿足上述范圍要求且仍處在示波器輸入的輸入動態范圍內,因此需要使用多個電流探頭,它們針對高頻開關電源內的不同電流水平具有不同的匝數比。匝數比不是固定不變的,常見的比率是:
● 25:1 (10A – 20A)
● 50:1 (1A – 10A)
● 100:1 (0.5A – 1A)
由于次級電流很小,只需#32 AWG線規即可。
終端電阻可通過下式估算:

圖2所示的電流探頭使用SMD電阻,這就是為什么需要一個小PCB來安裝它并固定到同軸電纜的末端。務必保形涂覆整個電流互感器組件;繞組非常脆弱,同軸電纜會給電流探頭帶來很大的機械應力。
校準問題
與每個交流耦合電路一樣,交流電流信號傳遞到次級,但輸出的直流部分自動校正為零。 直流“零”平均值出現在平均正值等于平均負值的輸出波形的某一點。短期平均零點將在每個信號周期內變化。圖3顯示了這一依賴時間的現象。每個電流探頭都有自己的時間常數。這可以通過在初級注入低頻脈沖電流來測量和表征。

圖3:通過注入輸入電流脈沖來校正電流探頭,以確定探頭的時間常數。
時間常數會導致電流波形失真(圖4)。

圖4:由互感器時間常數引起的電流顯示誤差。
時間常數約為:

結果是近似值,因為次級并非獨立的互感器,而是耦合了來自初級的負載。
用數字示波器校準電流探頭時,必須記住采樣率。將低頻矩形電流信號注入CT的初級電路時,示波器的采樣不會總與峰值輸出電壓點重合。這就需要注入多個輸入電流脈沖,并找到最高值的輸出電壓峰值。
你可能會問:“電流探頭提供的什么數據我可以相信?”可用的數據是(最值得信賴的測量,失真引起的誤差非常?。?/div>
1.所有高速轉換幅值;
2.周期比電流探頭的時間常數小得多的信號波形;
3.轉換之間的周期(時間)測量;
4. 比探頭時間常數(tr<˜0.05?C)短得多的上升和下降時間。
具有可與時間常數相比的周期的波形將因時間常數失真。時間常數被加到實際信號中。圖5為信號周期大于時間常數的1/2造成這種失真的一個例子。

圖5:電流探頭會因為時間常數使輸入信號失真。上部(綠色)跡線為干凈的VDS,下部(紅色)跡線為失真的ID。
圖5顯示了一個110kHz離線LLC轉換器低側MOSFET的VDS和ID。來自50Ω電壓探頭的電壓波形(頂部)未失真,底部的漏極電流波形則顯示出很大失真。電流探頭有25匝,終端電阻為50Ω,時間常數為14µs。
圖6顯示了如果在目標電路同一位置的電流檢測電阻上查看,實際信號是如何按預期出現的。盡管內心里想以任何精度從顯示信號中減去時間常數,但這在數學上不切實際。因此,關于顯示可信度的陳述與電流轉換相去甚遠。當然,也可以花大價錢買一個磁性“DC”電流探頭幫你做上述數學計算,但是帶寬太低。

圖6:信號周期由差不多相等的分量組成時的電流探測信號。
10A高頻電流探頭
本示例概述了適用于>10kHz開關電源的1A至10A電流探頭的設計步驟。
第一個任務是決定使用什么磁芯材料。無需細究磁學的長篇大論,你所需的是低磁導率(μ)高頻材料。磁導率是繞組內的電流量,可在磁芯內產生給定的磁通密度(磁通線數量)變化。在高磁通密度下,磁芯開始飽和(磁導率下降并且不再是線性的)。這是你需要避免的情況。
然后需要一個閉合磁環路來引導磁芯內的導線輻射磁場(與電流成比例)??梢杂寐菪€圈或帶間隙的U-I鐵氧體磁芯。鐵氧體磁芯有一些不好的影響因素,如邊緣場效應、因轉角引起的渦流等。理想的磁芯是鉬坡莫合金螺旋線圈,是鉬(一種非磁間隙材料)和鐵氧體的混合物。鉬含量越高,磁導率越低。較低的磁導率還可以得到更大的帶寬。對于合理的線徑,如在中低功率開關電源中所見,Magnetics公司的13.5mm(0.5in)環形磁芯(部件號55051A2)是不錯選擇。更大尺寸的磁芯可在直徑更大的導線中使用。
常見的匝數有25、50、100,當然,其它不同的匝數也是可用的。匝數越多,繞組兩端串聯電阻上的電壓越高。下面是制作過程。
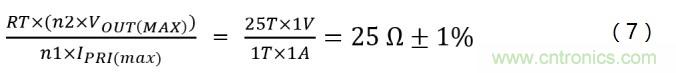
對我的漏極電流,我選擇了25匝。流入漏極的電流范圍是0.5A到10A,因此這是合理的選擇。我還想要1V/A輸出。終端電阻應該是:

線規應是#32 AWG絕緣電磁線。
2. 電線纏繞螺旋線圈均勻圍繞著磁芯,這有助于將次級導線產生的磁通量包含在磁芯內;
3. 在小的PCB或perf board上,將導線末端連到終端電阻。由于同軸電纜會給線圈/PCB組件帶來很大機械應力(圖2),因此PCB也用于將同軸電纜固定在PCB和終端電阻上;
4. 用1A的脈沖電流來測試探頭,確認峰值瞬態電壓為1V(圖3)。如果不是,則嘗試用接近25Ω的電阻來產生1V瞬態峰值;
5. 保形地涂覆整個螺旋線圈/PCB組件。環氧樹脂效果很好。確保螺旋線圈中心有一個干凈但有涂層的孔;
6. 執行上述步驟4來校準電流探頭并測量電流探頭的時間常數(圖4)。
上述步驟也適用于具有不同電流范圍的電流探頭。
結論
市場上買得到的電壓和電流探頭大都沒有足夠的帶寬來查看高頻功率器件呈現的高頻電流波形和邊緣。那么,為了查看“真實”信號,你需要構建自己的電壓和電流探頭。這兩部分提出的探頭構建是探頭設計的一個良好起點。
附錄A
使用下面的公式來計算已知磁芯和匝數的電感值。該計算針對初級電感(1個繞組和1個磁芯),沒有從磁芯其它繞組反射任何負載,例如在一個互感器內(> 1個繞組和1個磁芯)。

其中:
L是電感(單位為H);
N是匝數;
AL是電感系數,單位為nH/T²(由磁芯制造商提供)。
推薦閱讀:
將傳感器設計運用到電池供電的無線物聯網(IoT)設備中
在物聯網SoC中整合藍牙IP技術的應用
6年前的一款U盤大小DNA測序儀終于有了新用途
淺談晶振負載電容的計算方法以及需要注意的地方
詳解ADI的MEMS開關技術
推薦閱讀:
將傳感器設計運用到電池供電的無線物聯網(IoT)設備中
在物聯網SoC中整合藍牙IP技術的應用
6年前的一款U盤大小DNA測序儀終于有了新用途
淺談晶振負載電容的計算方法以及需要注意的地方
詳解ADI的MEMS開關技術



