中心議題:
- EDFA的原理及結構
- EDFA的級聯應用
- EDFA級聯應用的增益
解決方案:
- 增益分為兩級,需正確分配兩級問的增益
- 每一級各自一定的泵浦功率下,找到摻鉺光纖的最佳長度
無線光通信是以激光作為信息載體,是一種不需要任何有線信道作為傳輸媒介的通信方式。與微波通信相比,無線光通信所使用的激光頻率高,方向性強(保密性好),可用的頻譜寬,無需申請頻率使用許可;與光纖通信相比,無線光通信造價低,施工簡便、迅速。它結合了光纖通信和微波通信的優勢,已成為一種新興的寬帶無線接人方式,受到了人們的廣泛關注。
但是,惡劣的天氣情況,會對無線光通信系統的傳播信號產生衰耗作用。空氣中的散射粒子,會使光線在空問、時間和角度上產生不同程度的偏差。大氣中的粒子還可能吸收激光的能量,使信號的功率衰減,在無線光通信系統中光纖通信系統低損耗的傳播路徑已不復存在。大氣環境多變的客觀性無法改變,要獲得更好更快的傳輸效果,對在大氣信道傳輸的光信號就提出了更高的要求,一般地,采用大功率的光信號可以得到更好的傳輸效果。隨著光纖放大器(EDFA)的迅速發展,穩定可靠的大功率光源將在各種應用中滿足無線光通信的要求。
EDFA的原理及結構
摻鉺光纖放大器(EDFA)具有增益高、噪聲低、頻帶寬、輸出功率高、連接損耗低和偏振不敏感等優點,直接對光信號進行放大,無需轉換成電信號,能夠保證光信號在最小失真情況下得到穩定的功率放大。
1.1EDFA的原理
EDFA的泵浦過程需要使用三能級系統,如圖1所示。

在摻鉺光纖中注入足夠強的泵浦光,就可以將大部分處于基態的Er3+離子抽運到激發態,處于激發態的Er3+離子又迅速無輻射地轉移到亞穩態。由于Er3+離子在亞穩態能級上壽命較長,因此很容易在亞穩態與基態之間形成粒子數反轉。當信號光子通過摻鉺光纖時,與處于亞穩態的Er3+離子相互作用發生受激輻射效應,產生大量與自身完全相同的光子,這時通過摻鉺光纖傳輸的信號光子迅速增多,產生信號放大作用。Er3+離子處于亞穩態時,除了發生受激輻射和受激吸收以外,還要產生自發輻射(ASE),它造成EDFA的噪聲。
1.2EDFA的結構
典型的EDFA結構主要由摻鉺光纖(EDF)、泵浦光源、耦合器、隔離器等組成。
摻鉺光纖是EDFA的核心部件。它以石英光纖作為基質,在纖芯中摻人固體激光工作物質鉺離子,在幾米至幾十米的摻鉺光纖內,光與物質相互作用而被放大、增強。光隔離器的作用是抑制光反射,以確保放大器工作穩定,它必須是插入損耗低,與偏振無關,隔離度優于40dB。
圖2為單向泵浦方式結構,此外還有反向泵浦,雙向泵浦方式結構。

1.3EDFA的特性及性能指標
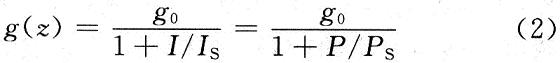
增益特性表示了放大器的放大能力,其定義為輸出功率與輸入功率之比:

式中:Pout,Pin分別表示放大器輸出端與輸入端的連續信號功率。增益系數是指從泵浦光源輸入1mW泵浦光功率通過光纖放大器所獲得的增益,其單位為dB/mW:

式中:g0是由泵浦強度定的小信號增益系數,由于增益飽和現象,隨著信號功率的增加,增益系數下降;Is,Ps分別為飽和光強和飽和光功率,是表明增益物質特性的量,與摻雜系數、熒光時間和躍遷截面有關。
增益和增益系數的區別在于:增益主要是針對輸入信號而言的,而增益系數主要是針對輸入泵浦光而言的。另外,增益還與泵浦條件(包括泵浦功率和泵浦波長)有關,目前采用的主要泵浦波長是980nm和1480nm。由于各處的增益系數是不同的,而增益須在整個光纖上積分得到,故此特性可用以通過選擇光纖長度得到較為平坦的增益譜。
1.4EDFA的帶寬
增益頻譜帶寬指信號光能獲得一定增益放大的波長區域。實際上的EDFA的增益頻率變化關系比理論的復雜得多,它還與基質光纖及其摻雜有關。在EDFA的增益譜寬已達到上百納米.而且增益譜較平坦。ED-FA的增益頻譜范圍在1525~1565nm之間。
EDFA的級聯應用
2.1EDFA的級聯結構
EDFA對光信號功率的放大,特別在無線光通信大功率(瓦級)應用中,常常采用級聯的方式,比如兩級或者三級放大。之所以采用級聯的方式,是因為在EDFA的摻鉺光纖(EDF)中插入一個光隔離器,構成帶光隔離器的兩段級聯EDFA,由于光隔離器有效地抑制了第二段:EDF的反向自發輻射(ASE),使其不能進入第一段EDF,減少了泵浦功率在反向ASE上的消耗,使泵浦光子更有效地轉換成信號光能量,從而可以明顯改善EDFA的增益、噪聲系數和輸出功率等特性。本文采用麗級級聯放大,將1~2mW的1550nm光信號,經EDFA放大到1W左右。級聯結構如圖3所示。

光信號由LD激光器產生,是已調制的信號,第一級放大采用單包層摻鉺光纖放大器,980nm單模半導體激光器作為泵浦源,將光功率放大到50mW附近。第一級采用單模半導體激光器泵浦,先將光信號穩定可靠的放大到一定功率,保證了整個光信號的完整,又為下一級光放大提供了較高的光功率基礎。第二級采用雙包層光纖放大器,多模半導體激光器泵浦源將光功率放大到1W左右。雙包層光纖放大器纖芯比單包層纖芯大,泵浦功率可以有效地耦臺到纖芯中,使第二級光信號的輸出功率可達到瓦級。
[page]
EDFA級聯應用的增益
2.2.1增益計算
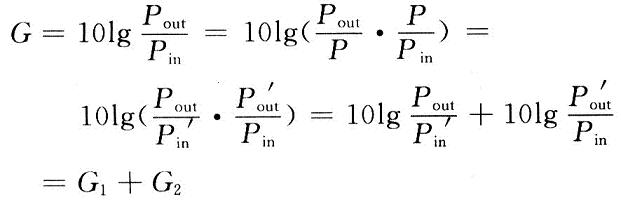
對EDFA級聯的整體光功率增益:

其中:Pout表示EDFA兩級放大后的輸出光功率,Pin表示需要放大的輸入光功率。
在本文中,光放大采用了兩級級聯放大,第一級增益為G1:

其中第一級的輸出為第二級的輸入,P''''''''''''''''out=P''''''''''''''''in=P,所以:

即,整體增益等于兩級增益之和,本文的整體光功率增益為:

第一級增益為17dB,第二級增益為13dB,1W的光功率經過準直聚焦,再有光學鏡頭發射到大氣信道,大大提高了光信號的有效傳輸距離。
影響增益的因素
EDFA的增益與諸多因素有關,如摻鉺光纖的長度,隨著摻鉺光纖長度的增加,增益經歷了從增加到減少的過程,這是因為隨著光纖長度的增加,光纖中的泵浦功率將下降,使得粒子反轉數降低,最終在低能級上的鉺離子數多于高能級上的鉺離子數,粒子數恢復到正常的數值。
由于摻鉺光纖本身的損耗,造成信號光中被吸收掉的光子多于受激輻射產生的光子,引起增益下降。由上述討論可知,對于某個確定的入射泵浦功率,存在著一個摻鉺光纖的最佳長度,使得增益最大。增益與摻鉺光纖長度的關系如圖4所示。

EDFA的增益還跟輸入光的程度、泵浦光功率及光纖中鉺離子Er3+的濃度都有關系,如小信號輸入時的增益系數大于大信號輸入時的增益系數。當輸入光弱時,高能位電子的消耗減少并可從泵激得到充分的供應,因而,受激輻射就能維持達到相當的程度。當輸入光變強時,由于高能位的電子供應不充分,受激輻射光的增加變少,于是就出現飽和。泵浦光功率越大,摻鉺光纖越長,3dB飽和輸出功率也就越大。其次與當Er3+的濃度超過一定值時,增益反而會降低,因此要控制好摻鉺光纖的鉺離子濃度。
采用EDFA后,提高了注入光纖的功率,但當大到一定數值時,將產生光纖非線性效應和光泄漏效應,這影響了系統的傳輸距離和傳輸質量。另外色散問題變成了限制系統的突出問題,可以選用G653光纖(色散位移光纖DSF)或非零色散光纖(NZDF)來解決這一問題。
EDFA級聯的改進
之所以采用EDFA級聯的方式,一是插入兩級間的光隔離器有效地抑制了第二段EDF的反向自發輻射(ASE),使其不能進入第一段EDF,減少了泵浦功率在反向ASE上的消耗,使泵浦光子更有效地轉換成信號光能量;二是分為兩級后,各自的增益可以任意分配,可以根據不同的增益要求和應用環境改變相應的增益。但是,要在保證信號無失真的情況下得到最佳的光功率增益,還需要解決一些問題:
(1)由于增益分為兩級,如何分配兩級問的增益才能在現有的EDF、泵浦源功率等條件下使得光放大的實現更容易,這與EDF的放大能力,泵浦遠功率大小、穩定性,泵浦光波長及其模式等均有密切相關。
(2)在每一級各自一定的泵浦功率下,找到摻鉺光纖的最佳長度。當EDF過短時,由于對泵浦吸收的不充分而導致增益降低;而當EDF過長時,由于泵浦光在EDF內被鉺離子吸收,泵浦功率逐漸下降,當功率降至泵浦閾值以下時,就不能形成粒子數反轉,此時,這部分EDF不僅對信號光無放大作用,反而吸收了已放大的部分信號,造成增益的下降,同時也會引起噪聲系數的增大。
(3)如果需要更高的光功率輸出,幾十瓦甚至上百瓦,可考慮更高級聯的方法,因為隨著增益的增大,泵浦源由于轉換效率的問題,功率需求會很高,所需的單級EDF長度也會大大增長,這樣的工作條件往往不易達到,且穩定性不強,采用更高級聯可以將增益劃分到多級,易于實現和控制,光模塊的整體增益特性也有較大提高。
本文提出了采用EDFA級聯的方法,實現了光信號30dB的增益,滿足無線光通信光功率傳播的要求,使得光信號能在大氣信道進行遠距離,高穩定性傳輸。同時在現有的基礎上,提出了需改進的問題,為今后研究的進一步開展指出了方向。



