中心議題:
- 討論比率測量法的優點
- 介紹運用感應耦合比率臂和差動式電容位移傳感器設計的高精度微小位移測量系統
- 給出了一種實驗系統的設計例子和主要的測試結果
解決方案:
- 采用比率測量法,減小誤差
- 測量電容量的變動,確定物體位移的大小
- 采用差動式結構,提高輸出靈敏度,減小非線性
- 用感應耦合比率臂來實現準確測量傳感器相應的位移
各種物理量(如溫度、壓力、位移、振動、速度、流量與扭矩)或者是濃度、酸堿度等化學量,一般都需要用適當的傳感器將其轉換為電學量后才便于檢測和控制。常用的電氣測量方法有很多種,依據測量誤差與測量方法相關聯的特點,可以將現有的各種測量方法分為如下三大類:
(1)直接測量法:直接測量未知量的數值;
(2)差值測量法:測量未知量與已知量之差,間接獲得被測量的值;
(3)比率測量法:測量未知量與已知量之比值,間接獲得被測量的值。
測量的過程就是要在未知量和已知量間建立起一定的關系,最后獲得被測量的大小。在采用上述不同的測量方法時,測量裝置和過程引入的誤差是不一樣的。如在直接測量法中,因為測量時間與環境的變化會引入一個系統誤差;而采用差值測量法時,由于兩個被比較的元件的外界條件相同,檢測它們的差值可在很大程度上消除上述系統誤差,尤其是利用零偏法時,差值測量可以獲得相當精確的結果,不過所測得的兩個量之差值仍隨著外部條件的變動而變化。采用比率測量法能夠顯著減小在一級近似下被測量中依賴于外界條件以乘積因子形式出現的誤差項,從而具有優于差值測量法的抗干擾性能。
比率測量法
一個物理量f,其值取決于外界因素如t(溫度)、u(電壓)……等,其一階展開式為:
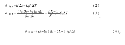
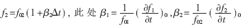
為簡化數學運算,只考慮存在一個干擾因素的情況,參考量f1與被測量f2可以分別寫作:f1=f01(1+β1Δt)和
且有β1Δt<<1,β2Δt<<1。容易求出在上述三種方法中的相對測量誤差各為:
圖1表示取L=1.5時相對誤差隨元件值的分布情況。可以看出,比率測量法在很寬的測量范圍內均具有良好的抗干擾能力。當存在多個影響因素或者在分析由上述方法組合成的測量裝置時,可根據疊加原理按系統誤差的理論綜合評定其精度。

電容位移傳感器與比率測量
電容式微小位移測量系統是近年來發展最快的位移測量技術之一。眾所周知,用兩塊平行的金屬板就可以構成一個電容位移傳感器,其電容量由極板的相對有效面積、極板間距以及填充的介質特性所決定。只要被測物體位置的移動改變了電容器上述任何一個結構參數,傳感器的電容量就會發生變化,通過測量電容量的變動即可精確地知道物體位移的大小。
電容位移傳感器的三種基本類型如圖2所示。其具體結構可視實際運用的場合靈活多變,電容極板可以是平面的或者球面的;運動電極可以采用水銀等導電液體。圖2所示的三種基本類型均可組成差動式結構,如各分類中下部圖形所示。采用差動式結構能夠提高傳感器線路的輸出靈敏度,減小非線性,還能在一定程度上抑制由靜電吸引帶來的誤差。當要求測量系統具有很高的分辨力時,一般是保持極板面積相對固定而使電容傳感器極板間隙隨被測位移改變,即如圖2(a)所示的結構。反之,采用保持間隙恒定而讓極板相對面積可變的結構,則可以在相當大的動態范圍內獲得線性的響應[1]。
一般情況下,電阻、電感和電容等電子元件均被看作雙端元件。兩端電容器的等效電路示如圖3(a)。由于各端鈕對附近導電物體的分布電容C1G、C2G是變化的,
如果電容式位移傳感器設計成這種簡單的結構,外界干擾會很大。為了消除上述分布參數的影響,必須對電容傳感器進行完善的靜電屏蔽,形成如圖3(b)的結構,稱之為三端電容器。這樣的三端電容元件中,由極板形成的直接電容C12是確定的,但是C13、C23仍受引線芯屏間電容的影響。如何排除三端電容中分布參數的影響?怎樣準確測量與位移相關的直接電容的大小呢?
上世紀五十年代在電工學和計量學領域出現了一種新型的電壓比率器件——感應耦合比率臂,它的突出特點是分壓精度高,可達10-8量級以上;輸出阻抗低,能做到10mΩ以下;長期穩定性非常好,年漂移率保持在10-9的水平。其后,感應分壓器的理論與工藝日臻完善,極大地提高了電工測量和標準計量的精度,實現了對小電容的高精度測量,進而以計算電容與感應分壓器為基準導出了電阻、電感等的計量標準[2]。這一成就也對精密測量領域產生了積極的推動作用。
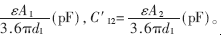
如果將兩個三端電容串接起來,分別用兩個信號源供電,就形成了如圖4所示的等效電路,其中,Y12=jωC12,Y′12=jωC′12。在公共點D與接地端之間連接一個檢流計,調節兩個外加電壓的幅值和相位,使通過兩個直接電容流向D點的電流大小相等、方向相反,直道檢流計指零,便可得到下面的關系式:

可見,只要知道了兩個電壓之比也就知道了兩個三端電容的直接電容之比,于是就可以準確測量傳感器相應的位移。兩個電壓源如果用感應耦合比率臂來實現,端鈕對屏蔽的導納對測量結果將沒有明顯的影響,因為Y23、Y′23在電路不平衡時只影響靈敏度,而當線路達到平衡狀態時就沒有影響了。至于Y13、Y′13引起的分壓誤差,則可以得到極大的降低,只要信號源的內阻足夠小即可。如前所述,感應耦合比率臂正好具有這一優良特性。
現以設計一個測量微小位移的系統為例來說明上述測量方法的應用。首先,用高導磁率環形鐵芯繞制出感應耦合比率臂,再設計適當的可變間距三電極差動式電容位移傳感器的結構,并采用比率測量線路,就有如圖5所示的微位移測量系統原理框圖。對雙極板電容傳感器,不考慮電場的邊緣效應,兩個直接電容為:C12=
不失一般性,對兩個差動電容器可假定極板相對面積相等,即A1=A2=A(cm2)。極板間介質的介電常數也有ε1=ε2=ε(譬如均為空氣)。d1、d2(cm)分別為兩傳感器的極板間距。N1、N2系感應分壓器兩部分電壓對應的匝數,N1+N2=N0。將兩個電容表示式代入(5)式,可得:
d1=KN1 (6)
d2=K(N0-N1) (7)
式中,K=(d1+d2)/N1+N2為測量系統的靈敏度系數,表示比率臂單位讀數變化所對應的傳感器中心電極的位移。現估算一下這個測量系統可能達到的指標。感應耦合比率臂的總的分壓比不難做到1/N0=10-7,兩個傳感器極板間距之和是個常量,取d1+d2=1mm,則位移靈敏度系數K=10-8cm,只有0.1納米。N1為儀器面板上的讀數,其變化范圍為從0到N0。
從最后獲得的極板位移與比率變壓器讀數的關系式(6)可知,讀數隨中心電極的位移呈線性變化。實際完成的系統由于結構的不完善性,在接近量程的兩端會出現一定程度的非線性,如果采取等電位屏蔽等措施,可以把輸出特性的非線性降低到可以忽略的程度。可見,將差動式電容位移傳感器與比率測量方法結合起來,設計的測量系統既有很高的分辨能力及較強的抗干擾能力,也能夠獲得很好的線性響應。
實驗驗證
在設計之初,一般要考慮下述幾個方面的問題:量程、靈敏度、精度與校準、線性、長期穩定性、頻率響應與環境變化的影響系數等。結合地球科學觀測的需要,按照第三節中提出的設計方案研制了不同用途的多種測量系統。譬如研制了一個位移測量系統,量程為±0.3毫米,分辨力可達0.02納米,輸出線性度優于0.5%,系統穩定度好于0.1納米/日。下面簡要介紹傳感器與測量儀器的設計和構成以及主要的測試結果。
首先選擇合適的材料。除彈簧片與絕緣材料外,電容位移傳感器的所有部件均是用國產低膨脹合金4J32或4J36加工制作的,材料的線膨脹系數分別為α≤1.2~1.5×10-6/℃或1.8×10-6/℃。各部件加工后進行了熱處理以消除殘余應力,傳感器組裝完成后還要作時效老化處理。陶瓷絕緣材料在使用前應仔細烘干,以提高極板間的絕緣強度,降低損耗。在設計精密小位移測量傳感器時要盡量采用整體結構。涉及零件裝配問題時,注意設計合適的緊固螺釘位置,以期將傳感器結構的蠕變減至最小。需要組合的部件,其接觸面應進行研磨,從而達到穩定可靠的接觸狀態。
基于感應耦合比率臂的測量儀器原理框圖如圖5所示。為降低系統的電氣噪聲,一千赫茲點頻信號源具有穩頻、穩幅的特性。檢測單元中前置放大器應盡量靠近傳感器,這可以有效地提高電橋線路的輸出信號電平與信噪比。一般情況下,噪聲與放大器帶寬成正比,故放大電路的通頻帶應限制到盡可能窄的程度,相敏檢波技術能夠跟蹤信號源激勵頻率,并且保持極低的通頻帶。關于這方面的問題,在此不再討論。
所設計的測量系統有一個五級的感應耦合比率部件,通過調節感應耦合比率臂各檔的開關位置,能夠使變壓器電橋系統達到或者接近平衡狀態,這樣可以獲得較高的測量精度。但是在科學測量及生產過程中,有時需要監測位移在某個量值附近的連續變化,或者需要監測某種低頻微幅振動,如若采用手動調節、平衡讀數的方法,就不能滿足要求了。將相敏檢波器的輸出經放大后接到數據采集器輸入端,記錄測量系統偏離平衡點的電壓大小能夠達到此目的。使用微動測量臺架標定傳感器,測值穩定,重復性好,所獲得的10號傳感器位移標定曲線示如圖6。圖中的直線是線性擬合的結果。

擬合方程顯示在圖中上部的方框里。從實驗結果可看出,一微米位移可獲得變壓器電橋讀數,變化為127.02,輸出特性的非線性誤差小于0.15%F.S.。比率臂第五檔變化一個數對應的位移量根據傳感器結構的不同,一般在5~8納米之間,末級的數據采集器可獲得300多毫伏的輸出,從數據采集器便能夠分辨出0.02納米的變化。在實驗室環境下,傳感器測值隨著溫度的變化會產生極大的漂移,用標準元件來檢查變壓器電橋測量系統的溫度系數與穩定性,所得結果見圖7。在28小時的實驗期間測值等效變化僅為0.1納米,環境溫度變化為3~4℃。作者還曾將差動電容式位移傳感器放到100米深的鉆井底部,那里溫度的年變化不到0.03℃,整個位移測量系統月漂 移率僅為0.1納米[3]。
本文討論的設計方案多年以來一直被應用于研制各種地球科學觀測儀器中,有的測量系統已經在觀測臺站工作近二十年,獲得了非常有價值的資料。該設計方案在諸如微機械加工、次聲監測和精密儀器系統的設計等領域有廣泛的應用前景。



