【導讀】半導體激光管(LD)和普通二極管采用不同工藝,但電壓和電流特性基本相同。在工作點時,小電壓變化會導致激光管電流變化較大。此外電流紋波過大也會使得激光器輸出不穩定。具體情況如何,請看本文分析。
二極管激光器對它的驅動電源有十分嚴格的要求;輸出的直流電流要高、電流穩定及低紋波系數、高功率因數等。隨著激光器的輸出功率不斷加大,需要高性能大電流的穩流電源來驅動。為了保證半導體激光器正常工作,需要對其驅動電源進行合理設計。并且隨著高頻、低開關阻抗的MOSFET技術的發展,采用以MOSFET為核心的開關電源出現,開關電源在輸出大電流時,紋波過大的問題得到了解決。
1 系統構成
裝置輸入電壓為24V,輸出最大電流為20A,根據串聯激光管的數量輸出不同電壓。如果采用交流供電,前端應該采用AC/DC作相應的變換。該裝置主要部分為同步DC/DC變換器,其原理圖如圖1所示。

Vin為輸入電壓,VM1、VM2為MOSFET,VM1導通寬度決定輸出電壓大小,快恢復二極管和VM2共同續流電路,整流管的導通損耗占據最主要的部分,因此它的選擇至關重要,試驗中選用通態電阻很低的M0SFET。電感、電容組成濾波電路。測量電阻兩端電壓與給定值比較后,通過脈沖發生器產生相應的脈寬,保持負載電流穩定。VM1關斷,快恢復二極管工作,快恢復二極管通態損耗大,VM2接著開通續流,減少系統損耗。
2 工作原理
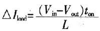
VM1導通ton時,可得:

電流紋波為:


二極管消耗的功率為P=VtdI0。一般快恢復二極管壓降0.4V,當電流20A時,二極管消耗功率為0.8W。如采用MOSFET,則消耗的功率將小很多。本實驗采用威世半導體公司的60A的MOSFET,其導通等效電阻為0.0022Ω。當電流為20A時,消耗功率約為0.088W。
[page]
由電流紋波公式可知,增大電感、減小ton都可以減小紋波。為了不提高電感容量,實驗中采用200kHz的工作頻率,其中電感選用4.8-μH,根據公式可得激光管壓降2V時紋波電流約為1000mA。系統采用了電流負反饋電路,以適應激光二極管的要求。當負載變化,電流略大于給定電流時,減小ton寬度,電壓降低。電流略小于給定電流時,增加ton寬度,這樣可以維持電流穩定。圖3所示為脈沖發生器結構。

圖3中,R1,R2為電壓測量電阻,Rc為電流測量電阻。調節R1可以設定最大輸出電壓。Rc限制最大輸出電流。當最大電壓或電流其中一個達到給定值,則脈沖寬度最大。這樣可以保證負載正常工作。
其仿真結果如圖4所示。

3 實驗結果
實驗曲線如圖5所示,實驗數據為輸入電壓12V,輸出電壓2V左右,測量電阻0.0025Ω,最大輸出電流20A。
實驗中用50A的2個二極管串聯作為負載,輸入電壓12V時,不同電流下輸出及效率如表1所示。

相關閱讀:
激光二極管,什么是激光二極管
第一講:LED驅動電源設計的考慮要素及通用要求
第二講:基于IGBT的高能效電源設計


