- 螺旋天線設計
- 采用直徑0.5~1.5mm漆包線或鍍銀銅線或鋁線擾制
- 天線尺寸需嚴格計算

圖1所示一般天線結構示意圖。D是螺旋天線直徑,L是螺旋天線長度,ρ是螺距,Ⅰ、Ⅱ是螺旋線上相對應兩點。
一般可以認為,電磁波沿金屬螺旋線以光速C作勻速運動。
從Ⅰ點到Ⅱ點即進行一個螺旋,所需時間為
t=πD/C
而對螺旋天線而言,其軸向電磁波只運動行進了一個螺距ρ,其軸向等效速率
υ=ρ/t=ρ/C(πD)

這種關系也可用圖2形式解釋。由圖2可知:
υ=Csinθ=Cρ/(πD)≤C
由上式可以看出,υ總是小于等于C的。故螺旋天線能使電磁波運動速度減慢,是一個慢波系統,其等效波長λ等效小于工作波長λ。對于螺旋天線而言,應諧振于其1/4等效波長,因而能縮短螺旋天線的幾何長度。
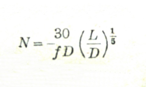
對于工作于一定中心頻率的通訊機來說,其所需繞的線圈數N可以由下式近似算出:

螺距:υ=L/N
所需金屬線長度:ι=NπD
對于一般通訊機可取
L=20~40cm
D=10~20mm
下表是對一些常用頻率螺旋天線的設計實例,其他頻率也可類似設計。

f是工作中心頻率;
D是螺旋天線直徑;
L是螺旋天線長度;
N是螺旋圈數;
ι是所需金屬線長度。
以上N、ρ為了實際制作需要均取近似值。
制作時可用直徑0.5~1.5mm漆包線或鍍銀銅線或鋁線在直徑為D的有機玻璃或其他絕緣材料上繞制,并在棒的兩頭打上小孔,以利于固定金屬線;在棒的底端焊上較粗的金屬桿或插頭固定在棒上,以利于與機器連接;整個螺旋天線的外面可用橡膠管或其他材料套封,并在頂端蓋上橡皮帽或用其他材料密封,這樣既美觀大方,又防雨防蝕,經久耐用。如果沒有上述金屬絲,也可采用多股細絕緣導線代替,效果相同,只是繞制時固定較為困難。
以上螺旋天線也可用于各種小型遙控設備及其他類似機器上。
為了比較慢波天線與常規拉桿天線的不同,說明慢波天線尺寸較小的優點,我們可對拉桿天線作一計算。
設定參數如下:
頻率f=27MHZ
波速c=3×108M(注:108應為10的8次方)
天線應諧振于1/4工作波長,則按公式可計算拉桿天線的長度:
L=1/4λ=1/4c/f=1/4(3×108/27×108)=2.78m(注:108應為10的8次方)
按照上面的表格,可知如果使用螺旋天線,中心頻率為27MHZ的慢波天線,其外觀長度僅40cm,尺寸約僅為拉桿天線的七分之一。




