中心議題:
- 采樣方式的分析與選擇
- 滯環控制原理分析
- 滯環恒流LED電流采樣電路設計
- 滯環恒流LED電流采樣電路仿真結果分析
針對滯環恒流大功率LED驅動芯片,本文提出一款高性能電流采樣電路。該電路采用高壓工藝,可承受最高達40 V的輸入電壓。通過分析滯環控制的特點,采用串聯電阻采樣技術,結合匹配電流源結構,在保證響應速度和采樣精度的同時,降低了電路的復雜度。電路中加入輸入電壓補償電路,進一步提高了恒流控制的精度。在Cadence下的仿真結果表明,電路可在800 kHz的頻率下正常工作,采樣精度達99.78%;當電壓從15V變化至35V時平均負載電流誤差為0.81%;輸出電壓范圍為0~5V.
當今照明領域,LED憑借其壽命長、功耗低、無污染等優點成為未來發展趨勢。然而,要針對不同的應用場合,分別設計一個獨特的芯片,目前情況是不可行的。因此,能夠使電源與負載相互獨立的電源管理芯片被廣泛應用。在這些芯片中,無論是電壓還是電流控制模式,都會通過檢測電感電流進行過流保護。在電流模式中,采樣電流還被用作環路控制。
本文提出的電流采樣技術用于一種滯環恒流控制大功率LED驅動電路中,除具有環路控制與過流保護的功能外,還具有電壓補償的功能及結構簡單的特點。
1 采樣方式的分析與選擇
1.1 現有采樣技術
表1中列出了現有的幾種電流檢測技術并列舉了其優缺點。

表1 現有采樣技術及其特點
1.2 滯環控制原理分析
圖1是滯環控制電路框圖。LED驅動電流的變化反映在Rsense兩端的壓差變化上。滯環電流控制模塊內設兩個電流閾值Imax和Imin,當電路接上電源時,功率管打開,電源通過Rsense、負載LED向電感L充電,驅動電流上升。當電流>Imax時,控制電路輸出低電平關閉功率開關管。此時電感通過負載LED、Rsense和肖特基二極管放電,電流下降。當驅動電流<Imin時,控制電路輸出高電平打開功率開關管,重復上一個周期的動作。通過這種方式控制電路將驅動電流限制在Imax與Imin之間周期性變化,使流過LED的平均驅動電流值恒定。

圖1 滯環控制電路框圖
可以看到,滯環控制電路使用的是串聯電阻采樣技術。從表1可知,串聯電阻技術的功耗很大,同樣具有高精度且無損耗的Sensfet似乎更勝一籌。不過,Sensfet技術只能檢測功率管打開時的電流變化情況,而無法檢測功率管關斷期間的電流變化。因此無法在需要始終對電流進行采樣檢測的滯環控制電路中使用。同時,由于輸入電壓較高,串聯電阻所消耗的功率在整個電路功率中所占比例也降低了。
[page]
2 電路設計
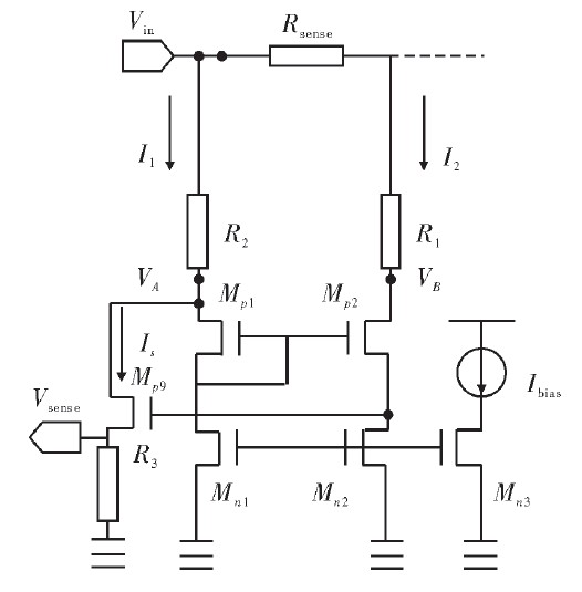
圖2是電路采樣電路結構圖。Rsense為采樣電阻,R1=R2=R;Mp1、Mp2、Mn1、Mn2組成的電壓鏡和Mp9反饋管組成匹配電流源作為電流檢測電路。其中Mp1與Mp2相互匹配并被偏置在飽和區,Mn1與Mn2是兩個相同且非常小的電流源,以保證流過Mp1與Mp2的電流相等從而使其具有相等的VSG。

圖2 電路采樣電路結構圖
由于Vin>Vcsn導致I1與I2不相等。采樣電流Is即為這部分"多余"電流,大小為

式(1)中,實際流過Rsense的電流為IL+I2.因為I2的大小低于電感電流的10-4倍,其影響可以忽略不計。
[page]
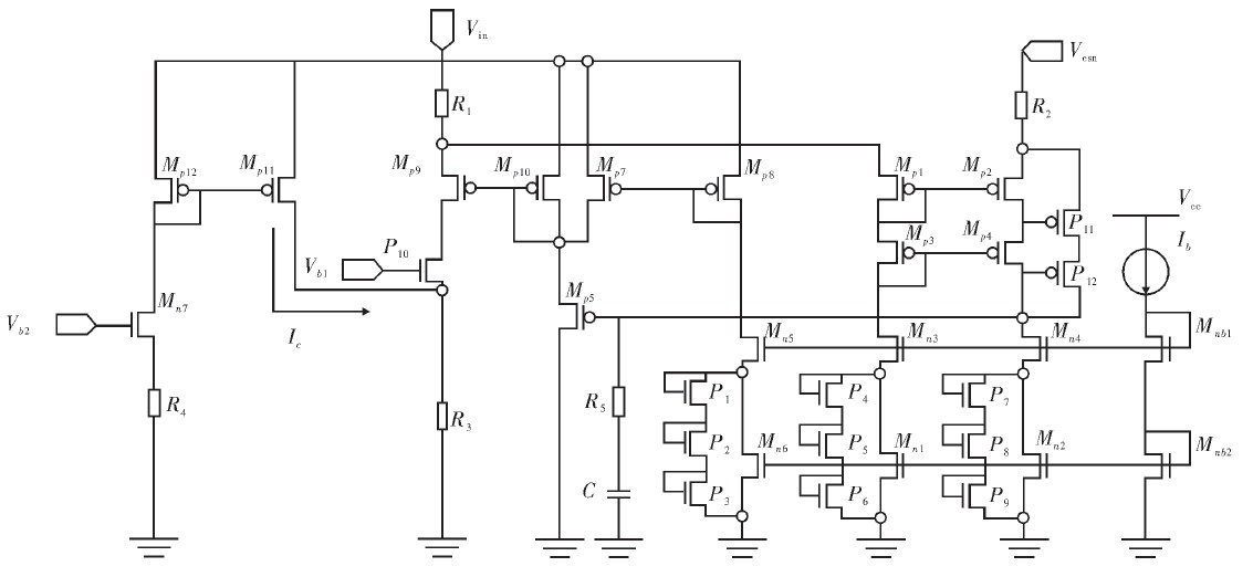
在實際電路中,VA對VB的匹配度直接影響采樣精度。圖3為簡化的小信號模型。圖4為實際電路圖。Vin與Vcsn為精確采樣電阻Rcsn兩端電壓,輸入范圍8~40 V;Vcc為芯片內部5 V穩定電源。

圖3 簡化的小信號模型

圖4 采樣電路的實際電路圖
應用KCL定理,得到

其中,ro4、ro3為 VB''''、VA''''處的等效輸出電阻。設 gm1ro3=gm2ro4=AV,且 Mp5為電流鏡,增益約為1,綜合式(3)到式(5):

δ是一個分子為
的微小值。由式(6)可以看出,當gm1ro2或gm2越大,VA與VB的匹配度越高,電流采樣越精確。值得注意的是,式中出現gm1ro3的平方項,這意味著可以用較小的增益達到高精度。但是,耐壓5 V的低壓管無法在高輸入電壓下正常工作,電路中必須使用大量耐壓40 V的高壓管。然而高壓管的增益與等效輸出電阻很低,無法滿足電流采樣電路的精度要求。
[page]
為使低壓管能在高壓輸入中也正常工作,電壓鏡采用了高低壓器件混用的共源共柵結構。Mp1、Mp2、Mn1和Mn2為低壓管;Mp3、Mp4、Mn3和Mn4為高壓管。一方面,高壓管作為共源共柵器件增大了輸出電阻;另一方面,它承受了大部分壓降,以保護低壓管不被擊穿。不過,共源共柵結構帶來另一個問題。串聯電阻R2令Mp2和Mp4之間的次極點更靠近原點,使系統變得不穩定。為消除該極點帶來的影響,在共源共柵結構的輸出端加入補償電阻R5和電容C,引入一個零點并使主極點更低。

高壓管Mp5~Mp10為匹配電流源的輸出級,主要起隔離緩沖的作用,電流鏡結構避免了增加新的極點。分流結構Mp7、Mp8將Mp5始終偏置在飽和區,從而允許流過Mp9與Mp10的電流最低降至0 A,使電路在空載時可以輸出地電壓,為芯片的進一步設計提供了方便。
P1~P12為保護管,防止低壓管因漏源或柵源電壓過高而被擊穿。
高壓管Mp11、Mp12、Mn7與R4構成了電壓補償電路。在前述的工作原理中,電路通過將電流限制在閾值Imax和Imin間周期變化達到恒流控制的目的。其中電源向電感的充、放電過程中,充電速率與輸入電壓成正比,放電速率和芯片的延遲則與輸入電壓無關。這一差異導致了在輸入電壓變化時,電流會因在固定的延遲時間中具有不同的上升斜率和相同的下降斜率,使實際電流峰值I''''max升高,影響平均電流值。該補償電路通過將與輸入電壓成正比的電壓Vb2轉換為與輸入電壓成正比的電流Ic,使流過R3的采樣電流Isense對輸入電壓具有正相關性,從而在輸入電壓升高時令電流閾值Imax、Imin降低,抵消因電流上升斜率提高對平均電流帶來的影響。
3 仿真結果
為驗證文中提出的電流采樣電路的功能,結合滯環控制電路及外部負載在Cadence中進行了仿真。圖5為輸入電壓20 V時采樣電流、電壓與負載電流的關系。由圖可見,采樣電流與采樣電壓隨負載電流同相周期性變化,周期約為1.2μs.

圖5 采樣電流、電壓與負載電流的關系
經過測試,當負載電流從0.4 A變化至1 A時,電路采樣精度最低為99.78%,理想的工作電流為0.6~0.8 A,精度高達99.96%.
表2為不同輸入電壓下負載電流的峰-峰值。由表中數據計算,在輸入電壓由15V變化至35V的過程中,負載電流的最大誤差僅為0.81%.

表2 輸入電壓與平均負載電流
[page]
圖6為外接電流源在0~1.2 A之間跳變時采樣電路輸出電壓的波形。圖中輸出電壓范圍為0~5 V,為整顆芯片設計過流保護、開路保護等其他電路提供了方便。

圖6 輸出電壓與負載電流波形圖
4 結束語
本文設計了一款適用于滯環控制結構的電流采樣電路。使用匹配電流源技術以很少的器件數量和簡單的結構,實現了耐高壓高精度的目的。端到端的輸出電壓范圍,則使整顆芯片中其他電路的簡化成為可能。電路中使用的電壓補償技術,使負載電流與輸人電壓的相關性大大降低。



