【導讀】了解了 ADC 中的缺失代碼如何導致 ADC 輸出失真。這種失真將導致輸入信號的諧波出現在 ADC 的輸出中。雖然具有缺失代碼的 ADC 確實會產生大量諧波失真,但缺失代碼并不是諧波失真的來源。 ADC 輸出中的諧波失真是由 ADC 特性中存在的任何非線性引起的。每個實用的 ADC 都具有非線性特性。因此,每個實際 ADC 的輸出中都存在諧波。 DNL 和 INL 是 ADC 特性非線性的度量,而 THD 是 ADC 輸出中產生的諧波失真的度量。
了解了 ADC 中的缺失代碼如何導致 ADC 輸出失真。這種失真將導致輸入信號的諧波出現在 ADC 的輸出中。雖然具有缺失代碼的 ADC 確實會產生大量諧波失真,但缺失代碼并不是諧波失真的來源。 ADC 輸出中的諧波失真是由 ADC 特性中存在的任何非線性引起的。每個實用的 ADC 都具有非線性特性。因此,每個實際 ADC 的輸出中都存在諧波。 DNL 和 INL 是 ADC 特性非線性的度量,而 THD 是 ADC 輸出中產生的諧波失真的度量。
圖 1:具有非線性特性的 ADC 輸出的 FFT
產生的諧波清晰可見
為了可視化 ADC 輸出中的諧波失真,我們將提供一個正弦波作為 ADC 的輸入,并繪制 ADC 數字輸出的傅里葉變換(又名 FFT)。圖 1 顯示了此類 ADC 輸出的 FFT 示例。理想情況下,FFT 應在正弦波頻率處具有單個頻率尖峰。盡管輸入信號的頻率在 FFT 圖中具有幅度(FFT 中的綠色莖),但圖中還可以看到其他頻率內容。輸入信號頻率稱為基頻。除了基頻分量之外,FFT 中還會周期性地出現尖峰(藍色莖)。這些是輸入信號頻率的諧波。
圖 1中用于測量的 ADC 具有相當大的非線性特性。對于良好的 ADC 設計,ADC 的輸出 FFT 看起來會干凈得多。下面的圖 1-1 顯示了這樣一個示例。我們需要更的工具和測量設備來表征此類 ADC 的失真。
圖 1-1:具有相當線性特性的 ADC 輸出的 FFT
- 諧波含量非常低。
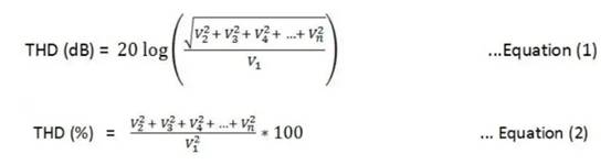
總諧波失真定義為 ADC 輸出中諧波含量相對于基頻功率的功率。它可以分別按照方程(1)和(2)以分貝或百分比表示 。
如圖 1所示,當我們轉向 ADC 的更高諧波時,諧波的幅度(以及諧波頻率的功率)通常會降低。因此,在計算總諧波失真時,只需考慮前幾次諧波。 ADC 數據表應指定計算數據表中總諧波失真數時考慮的諧波數。
除了 ADC 的基頻和諧波頻率分量之外,圖 1還顯示每隔一個頻率分量(以紅色標記)處存在一些功率。這對應于 ADC 輸出中存在的噪聲。
免責聲明:本文為轉載文章,轉載此文目的在于傳遞更多信息,版權歸原作者所有。本文所用視頻、圖片、文字如涉及作品版權問題,請聯系小編進行處理。
推薦閱讀:








