【導讀】壓電陶瓷是振蕩的機械系統,特征可由諧振頻率fres來表述。諧振頻率是由陶瓷的剛度和質量分布(有效的運動質量)決定的。某司陶瓷(非單層)的諧振頻率最高可達100kHz。
1. 諧振頻率
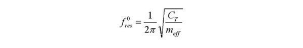
壓電陶瓷是振蕩的機械系統,特征可由諧振頻率fres來表述。諧振頻率是由陶瓷的剛度和質量分布(有效的運動質量)決定的。某司陶瓷(非單層)的諧振頻率最高可達100kHz。壓電陶瓷的諧振頻率反映的是陶瓷的響應時間,不能作為陶瓷的使用頻率。諧振頻率通常是在兩端不固定且在很小的電壓驅動信號下測得的,諧振頻率可以通過下面公式計算得出:

(1.1)
meff:壓電陶瓷的有效質量
CT:壓電陶瓷的剛度
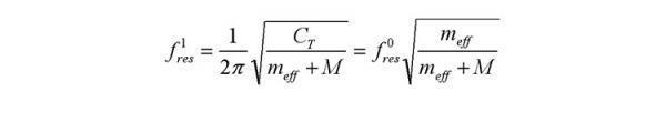
加載一個質量為M負載到陶瓷,此系統的諧振頻率可以用下式表示:

(1.2)
這就是為什么加載之后的諧振頻率與陶瓷本身的諧振頻率有很大的偏差,這個是一個很重要的因素。
如果陶瓷在諧振頻率點工作,那么振幅會比非諧振點高很多。
當接近諧振點工作的時候,即使給陶瓷非常低的電壓也能達到非諧振情況下,超過最大電壓下的位移。
但是我們建議陶瓷的使用頻率要小于諧振頻率的三分之一,同時還需要考慮動態過程中陶瓷的發熱情況,從而減小陶瓷損壞、延長使用壽命。
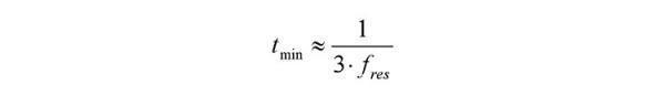
2. 階躍時間
由于壓電陶瓷的諧振頻率很高,壓電陶瓷可以隨著驅動電壓的變化而快速的伸縮。目前已經廣泛的應用到閥門和快門技術中。壓電陶瓷的最快響應時間即壓電陶瓷的伸長時間取決于壓電陶瓷的諧振頻率,一般為壓電陶瓷諧振時間的1/3。

(2.1)
當給陶瓷施加一個短的電脈沖,陶瓷在其階躍時間tmin內伸長。同時共振頻率將被激發,陶瓷在其伸長位置的附近做阻尼振蕩。更短的電脈沖只能使振幅更高,但不能縮短階躍時間。下圖顯示了一個壓電陶瓷在短脈沖電信號激勵下,陶瓷的上升時間為600us,諧振頻率為560Hz。

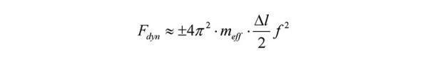
3. 動態力
在動態應用中,壓電陶瓷的推力和拉力是同時存在的,推力遠遠大于拉力,也就是說壓電陶瓷的抗壓強度是非常高的,而拉力則對其影響很大。當壓電陶瓷在動態應用時,兩種力交替出現。即使沒有外部負載,依然要考慮動態力。因此在動態應用中需要選擇有預載力的陶瓷。
壓電陶瓷正弦信號使用時,動態力估算公式為:

(3.1)
Fdyn:動態出力
f:使用頻率
?l/2:振蕩的幅度(?l -陶瓷滿行程)
Meff::有效質量
有效質量meff等于陶瓷本身質量的1/3加上負載的質量。

免責聲明:本文為轉載文章,轉載此文目的在于傳遞更多信息,版權歸原作者所有。本文所用視頻、圖片、文字如涉及作品版權問題,請電話或者郵箱聯系小編進行侵刪。
推薦閱讀:
開關電源布局和印制板布線原則
利用UHF 局部放電檢測技術監控電網的高速采集方案
CITE2021看點揭秘,看看這些引領時代的科技創新(上)
芯象:物聯網通信,創新中國芯
深愛半導體:扎根技術開拓進取
開關電源布局和印制板布線原則
利用UHF 局部放電檢測技術監控電網的高速采集方案
CITE2021看點揭秘,看看這些引領時代的科技創新(上)
芯象:物聯網通信,創新中國芯
深愛半導體:扎根技術開拓進取



