【導讀】開環增益(Open-Loop Gain,AVO或Avol),是指不具負反饋情況下(開環狀態),放大器的輸出電壓改變量與兩個輸入端之間電壓改變量之比。常以dB為單位。數據手冊的參數表中,通常給出直流條件下的開環增益值,另外提供開環增益隨頻率變化而變化的曲線。
本篇討論放大器參數是在工程師選型時,存在感很低的開環增益(或大信號增益)。
1、開環增益與大信號電壓增益定義
開環增益(Open-Loop Gain,AVO或Avol),是指不具負反饋情況下(開環狀態),放大器的輸出電壓改變量與兩個輸入端之間電壓改變量之比。常以dB為單位。數據手冊的參數表中,通常給出直流條件下的開環增益值,另外提供開環增益隨頻率變化而變化的曲線。如圖2.68,為ADA4077開環增益與頻率的關系。這個曲線必須重視,它會在多個交流參數的評估中使用。

圖2.68 ADA4077開環增益與頻率關系圖
與開環增益近似的參數是大信號電壓增益(Large Signal Voltage Gain,AV),定義為電路開環狀態下,輸出電壓變化量與兩個輸入端之間電壓變化量的比值。如圖2.2,ADA4077的大信號電壓增益為130dB(典型值)。二者的區別在于大信號電壓增益AV,默認為有輸出負載。它通常作為一種測試條件,用于輸出阻抗、總諧波失真加噪聲等參數的測試中。

圖2.2 ADA4077 輸入特性參數
2、開環增益仿真
在開環增益的電路仿真中,使用通用放大器模型,與真實放大器模型存在明顯區別。如圖2.69為通用放大器模型,增益為-1倍,反相輸入端網絡b,與反饋端網絡a處于斷開狀態。

圖2.69 通用放大器模型開環增益仿真電路
AC分析結果如圖2.70,從10mHz至3Hz范圍的開環增益為120dB,頻率超過10Hz之后,頻率每增加10倍開環增益衰減20dB,頻率到10MHz處開環增益為0dB。

圖2.70通用放大器模型放大器開環增益AC分析結果
圖2.69放大器的反相輸入端缺少偏置電流回路,所以正確的仿真電路如圖2.71。ADA4077反相輸入端(b節點)與反饋端(a節點)之間串聯大電感L1,在直流條件下a、b節點視為短路,交流狀態下視為斷路,滿足ADA4077的直流工作點和開環增益仿真需求。

圖2.71 ADA4077開環增益仿真電路
AC分析結果如圖2.72,與圖2.68 ADA4077在±15V供電條件下的開環增益與頻率圖近似相同。

圖2.72 ADA4077開環增益AC分析結果
3、開環增益對線性度影響
開環增益對電路直流性能的影響,體現在它導致閉環增益的非線性。根據反饋理論閉環增益為式2-42。
(式2-42)其中,β為反饋系數。噪聲增益Gn為β的倒數,因此閉環增益可以表示為式2-43。
(式2-43)當開環增益無窮大時,閉環增益就等于噪聲增益(同相放大的信號增益)。然而真實放大器的開環增益存在限制,所導致閉環增益的誤差近似為式2-44。
(式2-44)以一款開環增益為120dB(1000000倍)的放大器為例,噪聲增益為100時,閉環增益誤差為0.01%。如果開環增益保持不變,那么無須測量直接標定處理0.01%的增益誤差。但是開環增益受到工作環境影響產生變化時,便會引起閉環增益的不確定度。當示例中的放大器受工作環境影響,開環增益下降到100dB時,閉環增益誤差變為0.1%,即閉環增益誤差的不確定度為0.99%。
改變輸出電壓和輸出負載是引起開環增益變化的常見原因。在已定的電路中放大器的負載是固定的,因此開環增益受負載影響不大。但是開環增益對輸出信號電壓響應隨負載電流增大而增大。開環增益和信號電壓的變化又會導致閉環增益的非線性,這種非線性也無法通過系統標定解決。
每個器件的非線性變化不相同,數據手冊也不會提供該參數。因此只有選擇開環增益值較大的放大器,可以減小增益非線性誤差發生概率。但是產生增益非線性的原因很多,其中最常見的熱反饋。當溫度變化是造成非線性誤差的唯一原因時,降低負載將會有所幫助。
如圖2.73,開環增益非線性度的測量電路,增益設置為-1。根據開環增益的定義,當開環增益很大時,對應于整個輸出電壓變化范圍的輸入失調電壓只有幾毫伏。因此,使用10Ω電阻與Rg(1MΩ)分壓,得到節點電壓VY滿足式2-45。
(式2-45)其中,根據期望的Vos值選擇Rg的大小。

圖2.73開環增益非線性度測量電路
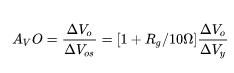
當輸入幅值為±10V的鋸齒波信號,通過增益為-1倍電路,輸出信號Vo電壓在-10~+10V。由于放大器有失調電壓,通過電位計將初始輸出電壓調整為0V。該電路的開環增益為式2-46。
(式2-46)如果電路存在非線性,那么開環增益將隨輸出信號的幅值變化而變化。開環增益非線性度根據開環增益的最大值和最小值計算如式2-47。
(式2-47)閉環增益的非線性度是開環增益非線性度與噪聲增益的乘積,如式2-48。
式(2-48)理想情況下,輸入失調電壓和輸出電壓的關系是斜率為常數的直線,并且開環增益等于斜率的倒數。斜率為零時,對應的開環增益無窮大。對于真實放大器,該斜率總受非線性、熱反饋等因素的影響,在整個輸出范圍內變化,甚至改變符號。
(來源:電子星球APP,作者:鄭薈民)
免責聲明:本文為轉載文章,轉載此文目的在于傳遞更多信息,版權歸原作者所有。本文所用視頻、圖片、文字如涉及作品版權問題,請電話或者郵箱聯系小編進行侵刪。




