下一代串行數據標準采用的高速率已經進入到微波領域。比如,即將到來的SuperSpeed USB(USB 3.0)通過雙絞線對線纜傳輸速的率就達到了5Gb/s。通過連接器和線纜傳輸如此高的速率必須考慮通道的不連續性引起的失真。為了將失真程度保持在一個可控的水平,標準規定了線纜和連接器對的阻抗和回波損耗。最新的測量使用S參數S11表征而且必須歸一化到線纜的90歐姆差分阻抗。
當測量USB 3.0通道的S參數時,可選的儀器是時域反射計或TDR。TDR系統通常往待測器件注入一個階躍電壓信號然后測量是時間函數的反射電壓。差分測量通過產生極性相反可相對定時的階躍電壓對實現。這篇文章中談到的都是差分信號。
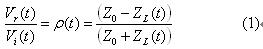
反射電壓與發射器和待測器件之間的阻抗失配成比例,關系如下式:
![]()
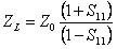
Z0 是源阻抗,ZL(t)是待測器件的阻抗,r(t)是反射系數,Vr(t)/Vi(t)是入射和發射電壓的比率。式(1)假設到待測器件的源,線纜和連接器都是匹配的,但事實上這種情況很少見。為了補償線纜和連接器的不理想,參考平面校正(基線校正)通常進行開路,短路,負載校準。調整式 (1)可以得到待測器件的阻抗和時間(或距離)的函數,所以可以使用校準過的TDR做阻抗測量。
圖1展示了USB 3.0 帶有連接器線纜的的阻抗曲線。曲線表明了隨著TDR 階躍信號在線纜中的行進阻抗變化是時間的函數。注意軌跡兩頭的阻抗變化,那是由于連接器引起的,當使用上升時間100ps (階躍信號)測試時連接器的阻抗規定是90+/- 7歐。TDR的上升時間非常重要,因為阻抗變化和TDR階躍信號的上升時間成反比,而規范規定的USB 3.0信號的上升時間是100 ps,測量中匹配這個上升時間將給出信號“看到的”阻抗。

Figure 1: Differential impedance vs. time measurement for USB3.0 cable and mated connectors
圖1:USB 3.0帶有連接器線纜的 差分阻抗 vs 時間 測量
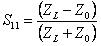
回波損耗或S11 是頻域的測量和反射系數有關。歸一化(通過反射平面校準 基線校正)反射系數的傅里葉變換給出了回波損耗是頻率的函數。圖2給出了USB 3.0線纜和連接器測量的結果。圖中的橫軸表示2GHz/div,范圍是0~20GHz,縱軸表示10dB/div?;夭〒p耗在2GHz大約是15dB,但隨著頻率的增加開始變得越來越小。精細的空值間隔是由線纜末端的連接器引起的,較大的空值間隔是由于連接器內部的阻抗結構決定的。

Figure 2: Differential return loss for USB3.0 cable with mated connectors
圖2: USB 3.0 帶有連接器線纜的差分回波損耗
回波損耗可以參考圖1中線纜和連接器阻抗是90歐而TDR系統差分阻抗是100歐,由于USB 3.0發射機阻抗是90歐,這個不匹配人為地減少了回波損耗。為了正確的表達回波損耗,將阻抗轉化為測試到的S11 是非常必要的,轉換關系由下式給出。
and
(2)
轉化可以分為兩步。首先,用特征阻抗是100歐姆的測試系統得出的復數S參數計算出復數的負載阻抗。其次,用新的90歐姆參考阻抗計算出負載阻抗的S參數?;夭〒p耗是頻率的函數,所以可以計算出每個頻點的S參數。
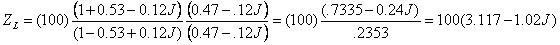
舉個例子,用100歐姆阻抗表征的復合回波損耗S11 = 0.53 - 0.12J 轉換到90歐姆的如下:
![]()
![]()
式2 用來將圖2中測到的插損 轉換到90歐姆差分阻抗。圖3中的兩個曲線給出了100歐姆和90歐姆特征阻抗的的回波損耗。

Figure 3: Return loss measured with 100 ohm reference (dotted line) and 90 ohm (solid line) reference
圖3:100 歐姆(虛線)和90歐姆參考(實線)的回波損耗
USB 3.0 線纜和連接器的差分阻抗可以使用校正的TDR系統測量插損而得出。通過對連接到待測器件的參考平面(基線校正)運行開路,短路,負載進行校正。通過簡單的轉換測試系統和待測器件之間的不同阻抗進行插損補償。
References
參考:
[1] “Time Domain Spectrum Analyzer and "S" Parameter Vector Network Analyzer”, James R. Andrews, Picosecond Pulse Labs application note AN-16a, November 2004
[2] “converting s-parameters from 50-ohm to 75-ohm Impedance”, Dallas Semiconductor/Maxxim application note November 21, 2003
USB 3.0線纜和連接器的阻抗和插損測試
發布時間:2009-09-24 來源:美國力科
特別推薦
- 噪聲中提取真值!瑞盟科技推出MSA2240電流檢測芯片賦能多元高端測量場景
- 10MHz高頻運行!氮矽科技發布集成驅動GaN芯片,助力電源能效再攀新高
- 失真度僅0.002%!力芯微推出超低內阻、超低失真4PST模擬開關
- 一“芯”雙電!圣邦微電子發布雙輸出電源芯片,簡化AFE與音頻設計
- 一機適配萬端:金升陽推出1200W可編程電源,賦能高端裝備制造
技術文章更多>>
- 1200余家企業齊聚深圳,CITE2026打造電子信息產業創新盛宴
- 掌握 Gemini 3.1 Pro 參數調優的藝術
- 筑牢安全防線:電池擠壓試驗機如何為新能源產業護航?
- Grok 4.1 API 實戰:構建 X 平臺實時輿情監控 Agent
- 電源芯片國產化新選擇:MUN3CAD03-SF助力物聯網終端“芯”升級
技術白皮書下載更多>>
- 車規與基于V2X的車輛協同主動避撞技術展望
- 數字隔離助力新能源汽車安全隔離的新挑戰
- 汽車模塊拋負載的解決方案
- 車用連接器的安全創新應用
- Melexis Actuators Business Unit
- Position / Current Sensors - Triaxis Hall
熱門搜索
MHL
Micrel
Microchip
Micron
Mic連接器
Mi-Fi
MIPS
MLCC
MMC連接器
MOSFET
Mouser
Murata
NAND
NFC
NFC芯片
NOR
ntc熱敏電阻
OGS
OLED
OLED面板
OmniVision
Omron
OnSemi
PI
PLC
Premier Farnell
Recom
RF
RF/微波IC
RFID



