【導讀】現代開關電源的設計要求由效率驅動,這不僅包括滿載條件下的效率,還包含斷開電纜連接時睡眠模式或空載條件下的效率。無論何種電源負載,電源系統集成商都必須滿足能源之星、80 Plus以及歐盟委員會的CoC等新規范。
要滿足這些要求,電源必須將開關頻率降至20kHz以下,有時甚至低至幾kHz。由于人耳可以聽到低于20kHz的聲音頻率(而且在2kHz至5kHz之間最敏感),因此很難避免出現音頻噪聲。對于消費者應用而言尤其如此,例如所有客廳中都有電話或筆記本電腦充電器,或者LED驅動器,如果產生噪聲,那將是非常煩擾的事情。
電源噪聲的起因
對音頻噪聲最敏感的電源組件通常是MLC陶瓷電容器、電感器或變壓器。電感器和變壓器等磁性組件在一定頻率下會受高壓脈沖應力的影響,導致物理效應,例如線圈上的反向壓電效應或鐵芯上的磁致伸縮。
反向壓電效應和磁致伸縮是將施加的電能轉換為機械力的作用機制。這種機械力使線圈或鐵芯振動,從而使其周圍的空氣移位并表現為聲波。由于這些振動會在諧振頻率上被放大多倍,因此說到底,我們要設法解決的是這些電源組件產生的機械自諧振頻率(SRF)。
首先,我們需要測量機械SRF以查看其是否在音頻噪聲范圍內。如果是,則找出諧振的來源。最后,在設計階段選擇合適的電氣參數以限制開關頻率的范圍。通過避免機械SRF,從而較輕松地降低噪聲。
機械自諧振
機械自諧振現象已經有模型可以識別,并已定義了可用的控件。其中,胡克定律是較為特殊的一種模型。圖1顯示了彈簧質量系統的方程式。該系統類似于電感器的螺旋線圈以及焊接了磁性組件的PCB組件的質量。

圖1: PCB組件上的胡克定律應用
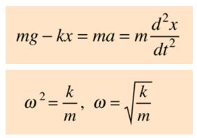
如上圖所示,紅球的質量(m)與PCB組件的質量相同。位移(x)由反向壓電效應或磁致伸縮力引起。施加的力與PCB板重量之間的關系可以用一個二階微分方程來完美表述(見圖2)。

圖2:用微分方程表述胡克定律
因此,該質量彈簧系統的諧振頻率可以用公式(1)來計算: $$f_{R}=frac {1}{2pi} sqrt frac{k}{m} $$ 其中k是彈簧的剛度常數,m是質量。
實驗裝置
在實驗中,我們采用MPS的MP174A作為電源變換器,MP174A是一款頻率可調的恒定峰值電流調節器。使用該器件,開關頻率會隨著負載電流和輸出功率的變化而成比例地變化,從而保持穩定的調節。
圖3顯示的實驗室裝置可用于測量鼓芯電感器產生的音頻噪聲,并找到其機械自諧振頻率(SRF)。頻譜分析儀應用程序和手機上的麥克風則用于測量聲音。手機始終放置在距電感器5厘米處。改變變換器上的負載電流以掃描不同的開關頻率,然后通過電話測量產生的聲音。

圖3: 實驗裝置
示波器可以在不同的負載電流下測量開關頻率,這樣,就可以在每種負載電流下測量聲音。示波器波形與在每個負載電流下用手機測得的頻率峰值相匹配。負載電流可在10%至80%之間變化。高于滿載80%不做測量,因為其開關頻率已超出了可聞范圍(> 20kHz)。
圖4顯示了在其中一種負載電流下捕獲的波形。13.16kHz的頻率與該應用程序產生的頻譜相匹配,該應用程序捕獲到了鼓芯電感器在13.242kHz頻率下的聲音峰值。

圖4: 開關節點波形
音頻噪聲頻譜
音頻噪聲由手機中的麥克風記錄下來。然后,使用安裝在手機上的頻譜分析應用程序繪制所有噪聲頻率及其各自的分貝級別(以dB為單位,用來測量音量)。
圖形分析
由于開關波形和頻譜分析應用程序測得的音頻噪聲之間的相關性,音頻噪聲頻率與開關頻率相同(參見圖5)。但在12.4kHz的開關頻率下,我們觀察到了噪聲峰值。

圖5: 音頻頻譜
該峰值表明在輸出功率為1W時,噪聲幅度增加了10dB。其產生歸因于電感器的機械自諧振頻率。通過避免采用11kHz至13kHz之間的切換頻率可以緩解此噪聲峰值。我們可以將峰值電流線性減小,而不是像MP174A那樣保持其恒定,同時將最小恒定開關頻率保持在13kHz,以避免噪聲達到峰值。然后,當輸出功率降至1W以下時,峰值電流保持恒定,并且開關頻率可以從11kHz線性降低至更低的頻率。

圖6: 噪聲(dB)和功率(W) vs. 頻率
解決方案
本文詳細介紹的控制策略可以進行修改,如跳過某些過于接近磁性元件機械SRF的開關頻率。設計磁性元件時,可以采用超過20kHz的諧振頻率,或遠低于所需最小開關頻率的諧振頻率,以在整個輸出功率范圍內保持符合規范。人耳在2kHz至5kHz頻率之間最為敏感;改變繞組的剛度常數也能改變諧振頻率。
改變諧振頻率的一種方法是減小繞組線的張力。在連接至變壓器引腳的繞組線上加一個套管來釋放繞組線的應力,也可以降低其剛度常數。
采用具有較高峰值電流變量的開關電源,可提供不同范圍的開關頻率來避開其自諧振頻率,這可以解決音頻噪聲問題。改變磁性組件的外形或其機械結構也可以幫助降低音頻噪聲,因為某一類機械結構的SRF可以避開開關頻率范圍,比如,加磁芯屏蔽或不加磁芯屏蔽,亦或是不同制造商制造的相同感值的組件。
結論
解決電源音頻噪聲有多種方案,例如改變控制策略以避開特定頻率或更改峰值電流都可以降低音頻噪聲。改變磁性設計以改變剛度常數、電路板重量或線圈結構也可以減輕噪聲。采用一種方法,或幾種方法一起使用,都可以消除或最小化電源中的音頻噪聲。
來源:MPS
免責聲明:本文為轉載文章,轉載此文目的在于傳遞更多信息,版權歸原作者所有。本文所用視頻、圖片、文字如涉及作品版權問題,請聯系小編進行處理。
推薦閱讀:




