【導讀】當考慮使用何種柵極驅動器時,一個常見問題是:驅動器可以提供的峰值電流是多少?峰值電流是柵極驅動器數據手冊中最重要的參數之一。此指標一般被視為決定柵極驅動器驅動強度的終極因素。MOSFET/IGBT的導通、關斷時間與柵極驅動器可以提供的電流有關,但并不能說明全部問題。峰值電流一詞在業界使用非常普遍,許多柵極驅動器數據手冊的標題中包含這一術語。盡管如此,其定義還是會因器件而異。本文討論為特定應用選擇柵極驅動器時使用峰值電流作為決定性因素的問題,并比較數據手冊中一些較常見的峰值電流表示形式。本文對標題中峰值電流數值相似的柵極驅動器進行了比較,并對柵極驅動強度做了討論。
應用示例
隔離式柵極驅動器提供電平轉換、隔離和柵極驅動強度,從而操作功率器件。這些柵極驅動器的隔離特性支持高端和低端器件驅動;如果使用合適的器件,它還能提供安全柵。應用實例如圖1所示。VDD1和VDD2有單獨的地基準,并且各自的電壓可能不同。在本文中,引腳1至引腳3被稱為原邊,引腳4到引腳6被稱為副邊。柵極驅動器提供的隔離很容易達到數百伏,因而可以支持較高的系統總線電壓。
合適的隔離式柵極驅動器必須能夠再現原邊上存在的時序,并以足夠快的速度驅動功率器件的柵極,以使開關轉換可以達到要求。較快的開關轉換可以降低開關損耗,因此快速開關的能力常常是人們所追求的特性。通常,對于一類開關技術,功率器件可以處理的功率越大,它給柵極驅動器帶來的負載就越大。

圖1.ADuM4120的典型應用。
隔離式柵極驅動器常常用于半橋配置,如圖2所示。高端驅動器必須能夠在系統地和VBUS電壓之間擺動,同時為其驅動的功率器件提供必要的驅動強度。

圖2.典型半橋應用。
負載考慮
MOSFET/IGBT的柵極充電或放電所需的時間決定了器件的開關速度。實際使用中會增加一個外部串聯柵極電阻,以便調節柵極電壓的上升/下降時間,并可以限制柵極驅動器IC的功耗。將功率器件建模為一個電容和帶MOSFET輸出級的柵極驅動器,并通過外部串聯柵極電阻運行,我們便得到圖3所示的RC電路。在此簡化模型中,峰值拉電流方程為IPK_SRC = VDD/(RDS(ON)_P + REXT),峰值灌電流方程為IPK_SNK = VDD/(RDS(ON)_N + REXT)。對于短路峰值電流測量, REXT設置為0Ω,但在應用中,存在一個外部串聯電阻。

圖3.柵極充放電的簡化RC模型。
其中:
RDS(ON)_N 為柵極驅動器NMOS的導通電阻。
RDS(ON)_P 為柵極驅動器PMOS的導通電阻。
REXT為外部串聯柵極電阻。
CGATE_EQUIV 為功率器件的等效電容。
數據手冊標題中的一語多義
峰值電流的本來作用是簡明地比較柵極驅動強度,但不同廠商的數值不同。圖4顯示了I-V曲線表示,以及柵極驅動器制造商用來給出峰值電流值的一些常見電平。特定MOSFET的I-V曲線的飽和水平在整個硅工藝和溫度范圍內變化很大,變化幅度常常是典型值的±2倍。
在許多數據手冊中,數據手冊特別提到的峰值電流是典型飽和電流,其測量方法是將輸出短路至相對較大的電容,或通過脈沖讓驅動器在非常短的時間短路。很少有數據手冊清楚地表明輸出驅動器在整個溫度和工藝變化范圍內的最小和最大IV曲線,但如果使用典型飽和數值作為峰值電流值,那么有些器件將無法在實際應用中提供或吸收那么多電流。有些數據手冊給出最大飽和值,有些則給出最小飽和值。描述驅動器可用峰值電流的另一種方法是描述最低I-V曲線的線性區域中的最高電流或最小線性電流。明確該數值后,用戶便知道所有器件在應用中都能提供或吸收比該額定值更多的電流。此值是保守值,但用戶可以得知,通過適當選擇外部串聯柵極電阻的大小,柵極驅動器輸出FET將不會因溫度和工藝變化而處于飽和區域。
峰值電流的生產測試通常非常困難,因為測試環境中接觸器的電流受限。隔離式柵極驅動器的峰值電流規格通過設計和/或特性來保證并不罕見。不同制造商可能會也可能不會提及峰值電流的最小值或最大值。因此,對于使用峰值電流的哪種表示方式來比較不同器件并沒有達成共識。重要的是應注意,峰值電流不是恒定電流或平均電流。如果柵極驅動器輸出在輸出FET的線性區域中正常運行,則峰值電流僅在切換剛開始時存在。

圖4.輸出驅動器FET的I-V曲線示例。
雖然整個溫度和工藝變化范圍內的完整最小和最大飽和曲線幾乎永遠不會進入數據手冊,但一些隔離式柵極驅動器制造商會提供輸出驅動器的典型I-V曲線。這可以表示為短路I-V曲線,或采用外部串聯柵極電阻來表示,以便更好地模擬實際應用。查看包含外部串聯電阻的IV曲線時,電壓軸通常在副邊電壓中指定,這意味著繪制的電壓是內部RDS(ON)和外部串聯柵極電阻上共享的VDD2電壓。
圖5顯示了數據手冊中給出的 ADuM4121 典型I-V曲線。應當注意的是,ADuM4121在數據手冊標題中提到了2 A的驅動能力,但其典型飽和電流超過7A。這是因為該數據手冊的標題使用了峰值電流的保守定義,告訴用戶該器件絕對可以在所有溫度和工藝變化下提供2 A電流。該I-V曲線也是采用2Ω外部串聯柵極電阻來模擬實際應用性能。重要的是確保用戶在對比不同產品時,每個產品的峰值電流定義是相同的,否則比對時可能會遺漏關鍵因素。

圖5.ADuM4121數據手冊I-V曲線。
米勒電容
MOSFET或IGBT雖然大致表現為容性負載,但存在非線性,原因是動態柵極-漏極電容,由此產生米勒平坦區——在該區域中,電容在導通(圖6)和關斷過渡期間會發生變化。在該米勒平坦區間隔期間,柵極電容需要最多的充電電流。峰值電流數值未考慮此時的電流值。但是,較高的峰值電流意味著米勒平坦區中的電流通常會更大。

圖6.IGBT的導通轉換,顯示出米勒平坦區。
功耗:一個主要考慮因素
In order to charge and discharge the gate of a power device, energy must be expended. If the equivalent capacitance model is used, and full charging and discharging of the gate occurs each switching cycle, the power dissipated by the gate switching action for both isolated and nonisolated gate drivers is:
其中:
PDISS 為一個柵極切換周期中消耗的功率。
CEQ為等效柵極電容。
VDD2 為功率器件柵極的總電壓擺幅。
QG_TOT 為功率器件的總柵極電荷。
fS為系統的開關頻率。
重要的是應注意,等效柵極電容CEQ與功率器件數據手冊中的CISS不是一回事。它常常比CISS大3到5倍,而總柵極電荷QG_TOT是一個更準確的數值,可供使用。還應注意的是,該方程式中未出現充電和放電的串聯電阻,原因是它僅與開關動作的總功耗有關,而與柵極驅動器IC內部的功耗無關。
由于隔離式柵極驅動器的隔離特性,標準要求不同的隔離區通過足夠的爬電距離和電氣間隙距離分開。爬電距離和電氣間隙距離要減去原邊到副邊區域路徑中的任何電流導體,因此,很少看到隔離式柵極驅動器使用裸露焊盤或散熱塊。這意味著無法使用一種主要的幫助降低集成電路熱阻的方法,導致將功耗轉移到隔離式柵極驅動器封裝之外(使得在給定工作點時環境工作溫度可以更高)的重要性更高。
由于無法給隔離式柵極驅動器添加散熱塊,因此所用封裝的熱阻大致與引腳數、內部金屬化、引線框架連接和封裝尺寸相關。對于給定產品型號的隔離式柵極驅動器,當比較不同可用器件時,封裝尺寸、引腳數和引腳排列通常相同,所以不同器件的θJA數值大致相同。
柵極驅動器IC內的熱耗散是導致內部結溫升高的原因。式1中計算出的功耗是功率器件柵極接通和關斷的總功耗。柵極驅動器IC內的功耗在輸出驅動FET的內部電阻RDS(ON)_N和RDS(ON)_P與外部串聯柵極電阻REXT之間分配。如果柵極驅動器大部分時候在線性區域工作,則柵極驅動器IC經歷的功耗比為:
如果RDS(ON)_N = RDS(ON)_P = RDS(ON),式2可簡化為:
因此,柵極驅動器IC從功率器件切換中獲得的總功率等于式1乘以式3:
從式4可以看出,RDS(ON)越小,隔離式柵極驅動器的功耗部分也越小。如果要滿足所需的上升/下降時間,則應保留用于功率器件柵極充放電的RC常數。RC常數中的電阻是內部RDS(ON)和外部串聯柵極電阻的串聯組合。換句話說,如果應用中使用的兩個競爭驅動器具有相同的上升和下降速度,則RDS(ON)較低的驅動器可以使用更大的外部串聯柵極電阻,而總串聯電阻保持不變,意味著柵極驅動器IC本身的功耗更低。
比較案例研究
為了說明不同產品的峰值電流定義有何差異,并展示隔離式柵極驅動器中較低RDS(ON)的好處,我們選擇了三款隔離式半橋驅動器,其手冊中均提到了4A峰值電流。所有三個驅動器的爬電距離、電氣間隙、引腳排列和焊盤圖形都相似。因此,可以使用相同布局來測試所有三個器件。使用ADuM4221 評估板作為測試平臺來比較ADuM4221和另外兩個器件,分別稱為競爭產品1和競爭產品2。評估板如圖7所示。

圖7.ADuM4221評估板。
表1總結了每種器件的數據手冊聲稱的數值。
表1.數據手冊聲稱值比較

如果嚴格比較數據手冊中顯示的值,競爭產品2提供的柵極驅動看起來最強,因此對于給定負載,其上升和下降時間最快。為簡化分析,負載使用分立陶瓷電容,故波形中不存在米勒平坦區。此外,僅使用雙通道輸出驅動器的一路輸出。
對于第一個測試條件,每個驅動器的負載為100 nF電容和0.5Ω外部串聯柵極電阻,配置如圖3所示。在驅動器上執行一次導通和關斷操作,以使驅動器內部的功耗保持較低。該測試非常類似于峰值短路測試。結果如圖8和圖9所示。

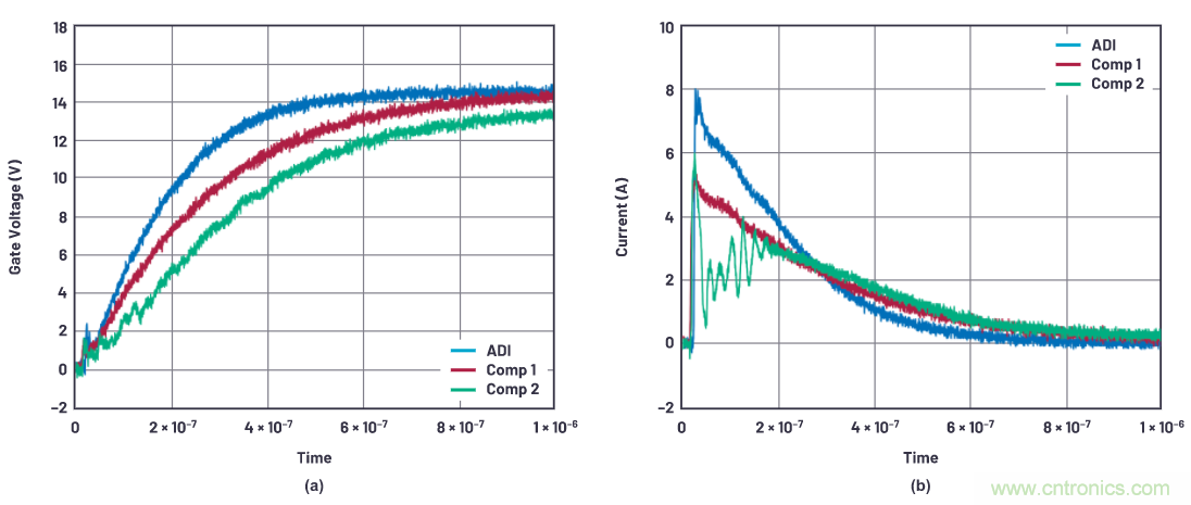
圖8.導通測試。100 nF和0.5Ω REXT。(a) 電壓與時間的關系。(b) 電流與時間的關系。

圖9.關斷測試。100 nF和0.5Ω REXT。(a) 電壓與時間的關系。(b) 電流與時間的關系。
圖8表明,不同驅動器的導通速度存在很大差異。令人驚訝的是,市場上峰值電流最高的驅動器的上升時間最慢。電流波形表明,所有驅動器的輸出都超過了標定的電流值,但競爭產品2不能維持高電流。總上升時間是電流積分的函數。檢查圖9所示的下降時間,所有三個器件的表現旗鼓相當。盡管各產品的峰值電流相似,但競爭產品2的持續電流最低。總體而言,三個器件在關斷測試中表現相似。從該測試可以看到,數據手冊中的峰值電流數值更強的器件,其表現出的驅動強度低于其他器件。
第二個測試條件是調整所有三個驅動器,使其上升和下降時間相似,然后以恒定的開關頻率操作這些器件以評估熱性能。如圖8所示,ADuM4221的上升時間最快,可以使用較大的外部串聯柵極電阻以與其他驅動器的上升時間一致。結果發現,針對導通情況,與競爭產品1的0.91Ω和競爭產品2的0.97Ω外部串聯柵極電阻相比,1.87Ω外部串聯柵極電阻可以使ADuM4221具有相似的上升和下降時間。ADuM4221的關斷電阻調整至0.97Ω。輸入和輸出波形如圖10所示。

圖10.所有三個驅動器調整后的上升/下降曲線。通道1 = 輸入,通道2 = ADuM4221,通道3 = 競爭產品1,通道4 = 競爭產品2。
將上升時間和下降時間調至相等時,電流波形的積分是可以比較的,功率器件中的開關損耗在應用中也是可以比較的。通過使用較大的外部串聯柵極電阻,隔離式柵極驅動器外部可以承擔更多的熱負載。圖11、圖12和圖13顯示了三個驅動器在相同環境溫度下工作時的熱分布圖,開關頻率為100 kHz,副邊電壓為15 V,負載電容為100 nF。

圖11.ADuM4221熱分布圖。

圖12.競爭產品1的熱分布圖。

圖13.競爭產品2的熱分布圖。
熱像儀的十字線是隔離式柵極驅動器的輸出區域。每個驅動器右側的亮點是外部串聯柵極電阻。圖11中的外部串聯柵極電阻比另外兩個熱分布圖中的電阻更熱。這是符合預期和需要的情況。所有三個測試均以相同開關頻率和相同負載電容進行,因此總功耗相同。外部電阻的功耗越多,柵極驅動器IC本身的功耗就越少。
競爭產品1的IC表面溫度比ADuM4221高35.3°C,這是因為較高RDS(ON)對競爭產品有熱限制。類似地,競爭產品2的功耗導致其表面溫度比ADuM4221高18.9°C,因而在相同工作條件下其柵極驅動器更熱。這表明,在選擇柵極驅動器時,較低內部電阻所產生的散熱能力是重要考慮因素。在較高環境溫度下工作時,這種溫度升高很重要。表2列出了測試結果。
表2.熱性能比較:溫度越低越好

結論
廠商報告的拉電流和灌電流額定值差異懸殊,粗略瀏覽數據手冊標題便形成對不同器件驅動強度的看法可能會產生誤導。峰值電流定義缺乏透明度可能導致器件銷售過多或不足,并極大地影響其在客戶進行全面評估之前被特定應用選中的機會。為了進行公平的比較,須確保數據手冊中提到的峰值電流具有可比性。當評估隔離式柵極驅動器時,應考慮熱裕量和低RDS(ON)的重要性。盡管可以將兩個柵極驅動器的上升和下降值調整為相同,但選擇RDS(ON)較低的驅動器可以提供更大的熱裕量和更靈活的開關速度。
推薦閱讀:


