中心議題:
- 功率MOSFET的連續漏極電流
- 功率MOSFET的脈沖漏極電流
- 功率MOSFET的雪崩電流
通常,在功率MOSFET的數據表中的第一頁,列出了連續漏極電流ID,脈沖漏極電流IDM,雪崩電流IAV的額定值,然而對于許多電子工程師來說,他們對于這些電流值的定義以及在實際的設計過程中,它們如何影響系統以及如何選取這些電流值,常常感到困惑不解,本文將系統的闡述這些問題,并說明在實際的應用過程中如何考慮這些因素,最后給出選取它們的原則。
功率MOSFET的連續漏極電流
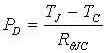
連續漏極電流在功率MOSFET的數據表中表示為ID。對于功率MOSFET來說,通常連續漏極電流ID是一個計算值。當器件的封裝和芯片的大小一定時,如對于底部有裸露銅皮的封裝DPAK,TO220,D2PAK,DFN5*6等,那么器件的結到裸露銅皮的熱阻RθJC是一個確定值,根據硅片允許的最大工作結溫TJ和裸露銅皮的溫度TC,為常溫25℃,就可以得到器件允許的最大的功耗PD:

當功率MOSFET流過最大的連續漏極電流時,產生最大功耗為PD:
![]()
因此,二式聯立,可以得到最大的連續漏極電流ID的計算公式:

其中,RDS(ON)_TJ(max) 為在最大工作結溫TJ下,功率MOSFET的導通電阻;通常,硅片允許的最大工作結溫為150℃。需要說明的是:上述的電流是基于最大結溫的計算值;事實上,它還要受到封裝的限制。在數據表中,許多公司表示的是基于封裝限制最大的連續漏極電流,而有些公司表示的是基于最大結溫的電流,那么它通常會在數據表注釋中進行說明,并示出基于封裝限制的最大的連續漏極電流。
在公式(1)中,需要測量器件的熱阻RθJC,對于數據表中的熱阻都是在一定的條件下測試的,通常是將器件安裝在一個1平方英寸2oz的銅皮的PCB上,對于底部有裸露銅皮的封裝,等效熱阻模型如圖1所示。如果沒有裸露銅皮的封裝,如SOT23,SO8等,圖1中的RθJC通常要改變為RθJL,RθJL就是結到管腳的熱阻,這個管腳是芯片內部與襯底相連的那個管腳。

圖1 等效熱阻模型
功率MOSFET有一個反并聯的寄生二極管,二極管相當于一個溫度傳感器,一定的溫度對應著一定的二極管的壓降,通常,二極管的壓降和溫度曲線需要進行校準。
測試時,功率MOSFET的反并聯的寄生二極管中通過一定的電流,當器件進入熱平衡狀態時,測量二極管的壓降、器件裸露銅皮或與芯片內部襯底相連的管腳的溫度,以及環境溫度。
通過二極管的壓降和通過的電流,可以計算功耗;通過二極管的壓降可以查到結溫,根據功耗、結溫和器件裸露銅皮或與芯片內部襯底相連的管腳的溫度,可以計算得到RθJC或RθJL。根據功耗、結溫和環境溫度,還可以計算得到RθJA。
特別強調的是,RθJC不是結到器件的塑料外殼溫度。RθJA是器件裝在一定尺寸的PCB板測量的值,不是只靠器件本身單獨散熱時的測試值。實際的應用中,通常RθJT+RθJA>>RθJC+RθCA,器件結到環境的熱阻通常近似為:RθJA≈RθJC+RθCA
熱阻RθJC確定了,就可以用公式(1)計算功率MOSFET的電流值連續漏極電流ID,當環境溫度升高時,相應的ID的值也會降低。
裸露銅皮的封裝,使用RθJC或RθJA來校核功率MOSFET的結溫,通常可以增大散熱器,提高器件通過電流的能力。底部沒有裸露銅皮的封裝,使用RθJL或RθJA來校核功率MOSFET的結溫,其散熱的能力主要受限于晶片到PCB的熱阻。數據表中ID只考慮導通損耗,在實際的設計過程中,要計算功率MOSFET的最大功耗包括導通損耗、開關損耗、寄生二極管的損耗等,然后再根據功耗和熱阻來校核結溫,保證其結溫小于最大的允許值,最好有一定的裕量。
上述計算過程中,ID是基于硅片的最大允許結溫來計算的,實際的ID還要受到封裝的影響,特別是底部具有裸露銅皮的封裝。
[page]
封裝限制通常是指連接線的電流處理能力。對于額定的連接線的電流限制,常用的方法是基于連接線的熔化溫度。當連接線的溫度大于220℃時,會導致外殼塑料的熔化分解。在許多情況下,硅電阻高于線的電阻的10倍以上,大部分的熱產生于硅的表面,最熱的點在硅片上,而且結溫通常要低于220℃,因此不會存在連接線的熔化問題。連接線的熔化只有在器件損壞的時候才會發生。
有裸露銅皮器件在封裝過程中硅片通過焊料焊在框架上,焊料中的空氣以及硅片與框架焊接的平整度會使局部的連接電阻分布不均勻,通過連接線連接硅片的管腳,在連接線和硅片結合處會產生較高的連接電阻,因此實際的連續漏極電流ID會小于數基于結溫計算的電流。基于封裝限制的電流是測試的實際工作的最大電流,因此,在數據表中,寄生二極管的電流通常也用這個值表示。
功率MOSFET的脈沖漏極電流
脈沖漏極電流在功率MOSFET的數據表中表示為IDM,對于這個電流值,許多工程師不明白它是如何定義的。
通常,功率MOSFET也可以工作在飽和區,即放大區恒流狀態。如果功率MOSFET穩態工作在可變電阻區,此時,對應的VGS的放大恒流狀態的漏極電流遠遠大于系統的最大電流,因此在導通過程中,功率MOSFET要經過Miller平臺區,此時Miller平臺區的VGS的電壓對應著系統的最大電流。然后Miller電容的電荷全部清除后,VGS的電壓才慢慢增加,進入到可變電阻區,最后,VGS穩定在最大的柵極驅動電壓,Miller平臺區的電壓和系統最大電流的關系必須滿足功率MOSFET的轉移工作特性或輸出特性。
也就是,對于某一個值的VGS1,在轉移工作特性或輸出特性的電流為IDM1,器件不可能流過大于IDM1的電流,轉移工作特性或輸出特性限制著功率MOSFET的最大電流值。
這也表明,數據表中功率MOSFET脈沖漏極電流額定值IDM對應著器件允許的最大的VGS,在此條件下,器件工作在飽和區,即放大區恒流狀態時,器件能夠通過的最大漏極電流,同樣,最大的VGS和IDM也要滿足功率MOSFET的轉移工作特性或輸出特性。
另外,最大的脈沖漏極電流IDM還要滿足最大結溫的限制,IDM工作在連續的狀態下,功率MOSFET的結溫可能會超出范圍。在脈沖的狀態下,瞬態的熱阻小于穩態熱阻,可以滿足最大結溫的限制。
因此IDM要滿足兩個條件:(1) 在一定的脈沖寬度下,基于功率MOSFET的轉移工作特性或輸出特性的真正的單脈沖最大電流測量值;(2)在一定的脈沖寬度下,基于瞬態的熱阻和最大結溫的計算值。數據表通常取二者中較小的一個。功率MOSFET的數據表后面通常列出了瞬態的熱阻的等效圖。
因為VGS限定的漏極的電流,單純的考慮IDM對于實際應用沒有太多的參考價值,因為實際的應用中,柵極的驅動電壓通常小于最大的額定電壓。同樣的,在實際的柵極驅動電壓下,單純的考慮電流也沒有意義,而是考慮最大漏極電流的持續時間。
IDM和實際的應用最相關的狀態就是系統發生短路,因此,在系統控制器的柵驅動電壓下,測試短路時最大漏極電流的持續時間。通常在設計過程中,使系統短路保護時間小于1/3~1/2的上述的持續時間,這樣才能使系統可靠。
事實上,對于大電流,在導通狀態下或關斷的過程,由于芯片內部的不平衡或其他一些至今還沒有理論可以解釋的原因,即使芯片沒有超過結溫,也會產生損壞。
因此,在實際的應用中,要盡量的使短路保護的時間短,以減小系統短路最大沖擊電流的沖擊。具體方法就是減小短路保護回路的延時,中斷響應的時間等。
在不同的柵級電壓下測量短路電流,測試波形如圖2所示,采用的功率MOSFET為AOT266。圖2(a):VGS電壓為13V,短路電流達1000A,MOSFET在經過47μs后電流失控而損壞;圖2(b):VGS電壓為8V,短路電流僅為500A,MOSFET在經過68μs后電流失控而損壞。電流測試使用了20:1的電流互感器,因此電流為200A/格。

圖2 AOT266短路測試波形
可以的看到,VGS =13V,最大電流為1000A,持續的時間為47μs;VGS =8V,最大電流為500A,持續的時間為68μs。
功率MOSFET的雪崩電流
雪崩電流在功率MOSFET的數據表中表示為IAV,雪崩能量代表功率MOSFET抗過壓沖擊的能力。在測試過程中,選取一定的電感值,然后將電流增大,也就是功率MOSFET開通的時間增加,然后關斷,直到功率MOSFET損壞,對應的最大電流值就是最大的雪崩電流。
在數據表中,標稱的IAV通常要將前面的測試值做70%或80%降額處理,因此它是一個可以保證的參數。一些功率MOSFET供應商會對這個參數在生產線上做100%全部檢測,因為有降額,因此不會損壞器件。
注意:測量雪崩能量時,功率MOSFET工作在UIS非鉗位開關狀態下,因此功率MOSFET不是工作在放大區,而是工作在可變電阻區和截止區。因此最大的雪崩電流IAV通常小于最大的連續的漏極電流值ID。
采用的電感值越大,雪崩電流值越小,但雪崩能量越大,生產線上需要測試時間越長,生產率越低。電感值太小,雪崩能量越小。目前低壓的功率MOSFET通常取0.1mH,此時,雪崩電流相對于最大的連續的漏極電流值ID有明顯的改變,而且測試時間比較合適范圍。



